• Предмет: Математика
  • Автор: Langege
  • Вопрос задан 2 года назад

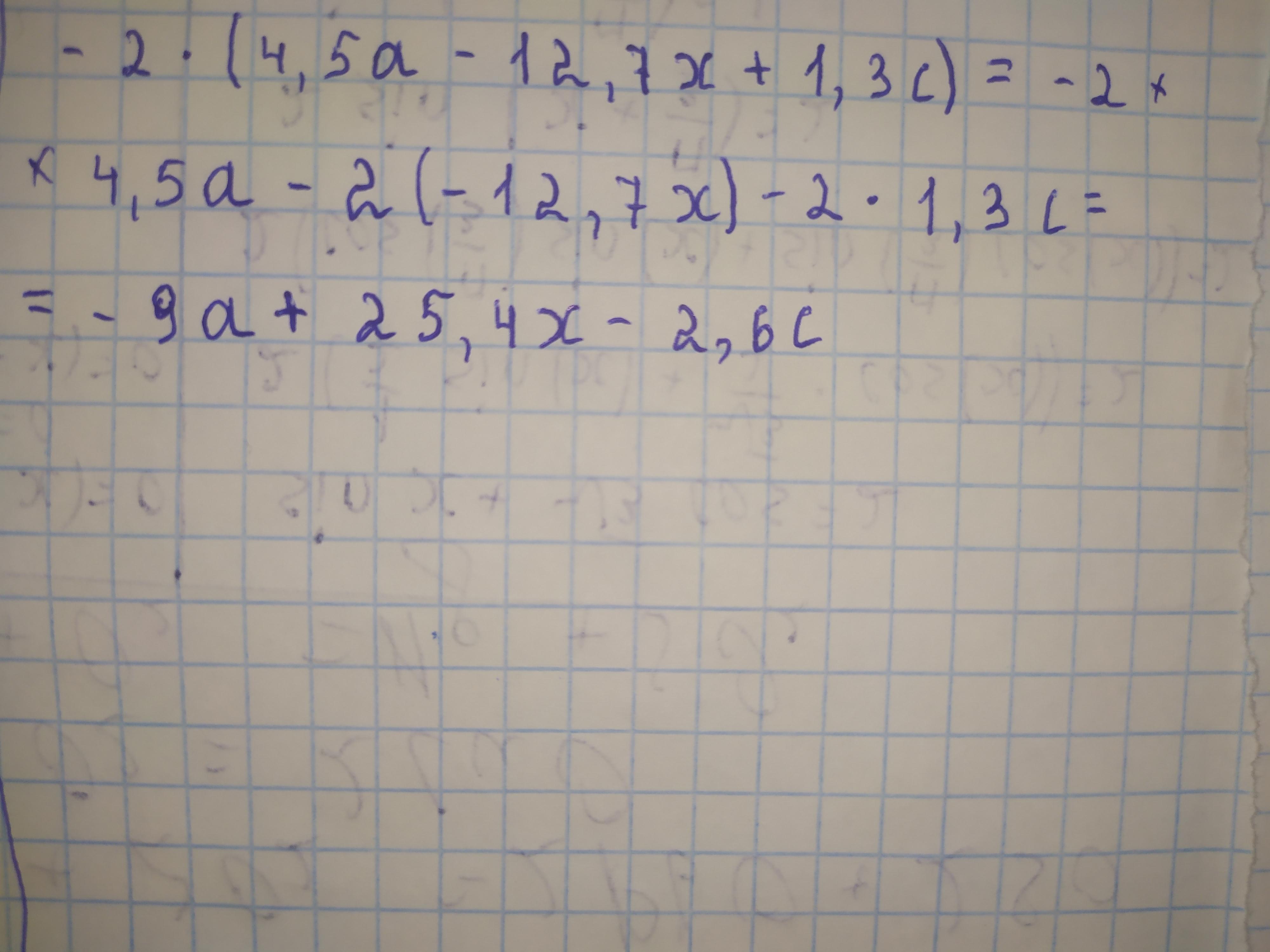
Розкрийте дужки
- 2 * (4,5а - 12,7x + 1,3c)=
СРОЧНО ПОЖАЛУЙСТА​ 6 клас

Ответы

Ответ дал: sever0000
0

Ответ:

фото

Пошаговое объяснение:

Приложения:
Вас заинтересует