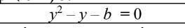
Один із коренів даного рівняння дорівнює 4. Знайдіть другий корінь і число
(коефіцієнт) b:
Приложения:
Ответы
Ответ дал:
0
Ответ:
решение смотри на фотографии
Приложения:
Вас заинтересует
2 года назад
2 года назад
2 года назад
2 года назад
3 года назад
9 лет назад
9 лет назад