• Предмет: Математика
  • Автор: angelinalozko544
  • Вопрос задан 2 года назад

Розкрийте дужки і зведіть подібні доданки:
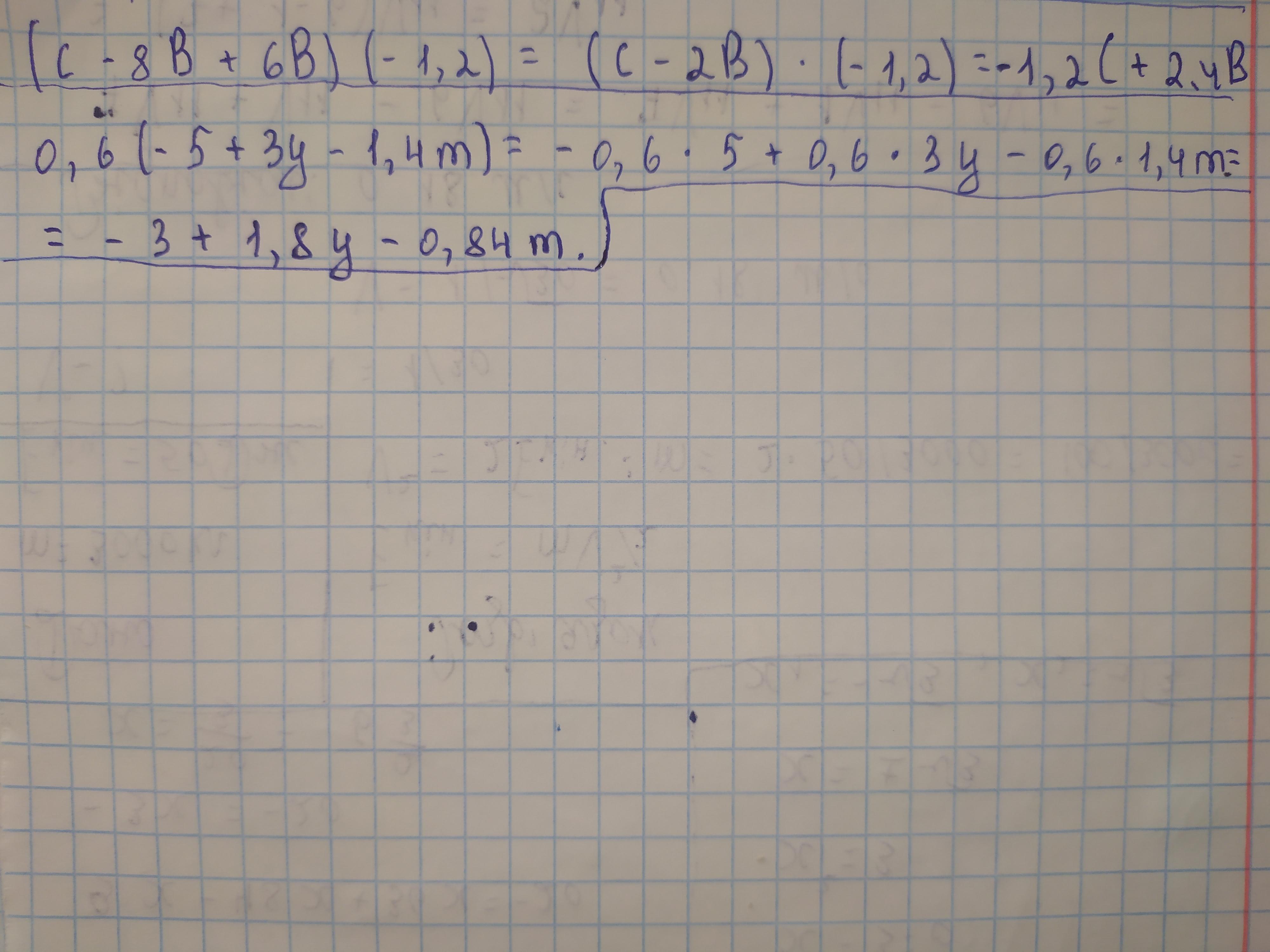
(c - 8B + 6B)(- 1, 2)
0, 6(- 5 + 3y - 1, 4m)

Ответы

Ответ дал: sever0000
0

Ответ:

фото

Пошаговое объяснение:

Приложения:
Ответ дал: iramazurk
0

Пошаговое объяснение:

(с - 8в + 6в)(-1,2) = (с - 2в)(-1,2) = -1,2с + 2,4в

0,6(-5 + 3у - 1,4m) = -3 + 1,8y - 0,84m

Вас заинтересует