• Предмет: Математика
  • Автор: zmaks2005
  • Вопрос задан 2 года назад

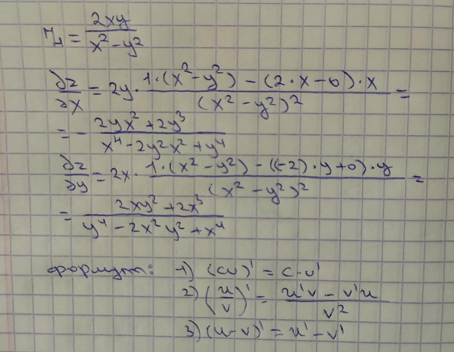
z=2xy/x²-y²
обчислити наступні частинні похідні:
DZ/DX;DZ/DY​

Ответы

Ответ дал: Аноним
1

решение прикрепил на фотографии.

Приложения:

Аноним: zmaks2005, здравствуйте
Аноним: у вас висит последняя задача, в которой нужно найти частые производные
Аноним: какие там частные производные нужно найти?
Аноним: dz/dx; d²z/dz²; dz/dy; dz²/dy²?
Вас заинтересует