• Предмет: Алгебра
  • Автор: andrec200900
  • Вопрос задан 2 года назад

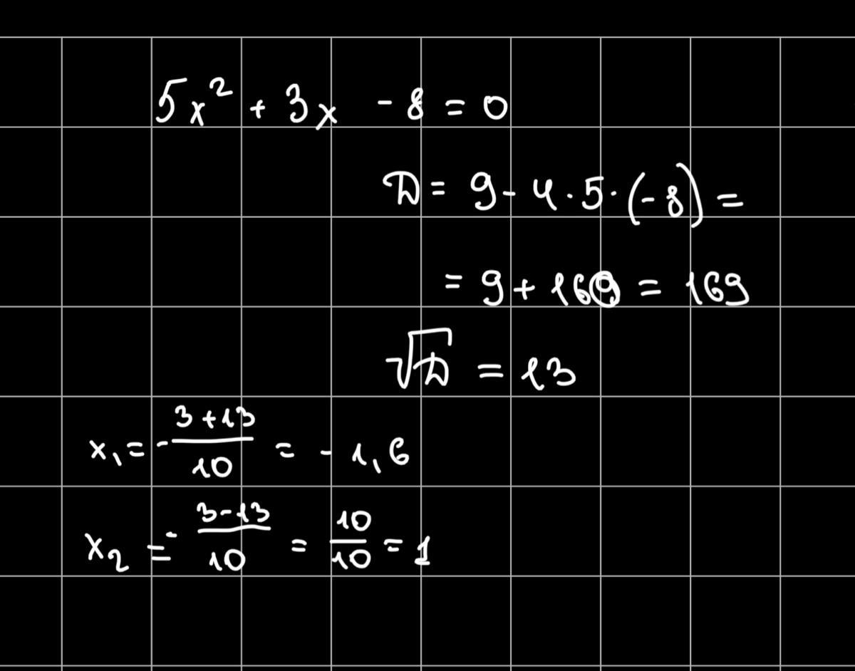
Визначіть коефіцієнти квадратного рівняння 5x2 +3x - 8 =0​

Ответы

Ответ дал: abrutinandriy
1

Ответ:

Квадратне рівняння у загальному вигляді має вигляд ax^2 + bx + c = 0, де a, b та c - це коефіцієнти рівняння.

Отже, у даному квадратному рівнянні 5x^2 + 3x - 8 = 0, коефіцієнт a = 5, kоефіцієнт b = 3, а коефіцієнт c = -8.

Таким чином, коефіцієнти квадратного рівняння 5x^2 + 3x - 8 = 0 є:

a = 5

b = 3

c = -8


andrec200900: ты красава
Ответ дал: zibbizup7r28e
1
відповідь:
пояснення:
Приложения:

zibbizup7r28e: я коефіцієнти з коренями переплутала, сорян!
Вас заинтересует