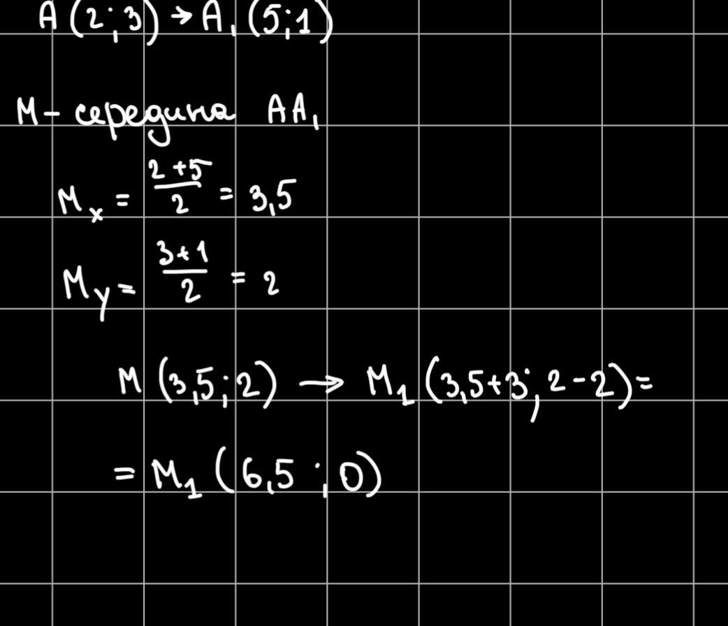
При паралельному перенесені точка A(2;3) переходить в точку A1(5;1) у яку точку перейде при цьому паралельному перенесені середина відрізка AA1 ТЕРМІНОВО
Ответы
Ответ дал:
1
відповідь:
пояснення:
пояснення:
Приложения:
Вас заинтересует
2 года назад
2 года назад
2 года назад
3 года назад
3 года назад
9 лет назад