• Предмет: Алгебра
  • Автор: lerak8340
  • Вопрос задан 2 года назад

ДОПОМОЖІТЬ, БУДЬ ЛАСКА!!!! ДАЮ 50 БАЛІВ!

Приложения:

Ответы

Ответ дал: NNNLLL54
1

Ответ:

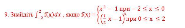
\bf f(x)=\left\{\begin{array}{l}\bf x^2-1\ \ \ \ \ \, ,\ \ -2\leq x\leq 0\\\bf (\frac{1}{2}x-1)^3\ ,\ \ \ 0\leq x\leq 2\end{array}\right  

Применим свойство аддитивности определённого интеграла .  Оно состоит в том, что если промежуток интегрирования разбить на две части, то определенный интеграл по всему промежутку будет равен сумме двух определенных интегралов по частичным промежуткам.

\bf \displaystyle \int\limits^2_{-2}\, f(x)\, dx=\int\limits^0_{-2}\, (x^2-1)\, dx+\int\limits^2_0\, (\frac{1}{2}\, x-1)^3\, dx=\\\\\\=\Big(\frac{x^3}{3}-x\Big)\, \Big|_{-2}^0+\frac{(\frac{1}{2}x-1)^4}{4\cdot \frac{1}{2}}\, \Big|_0^2=0-\Big(\frac{-8}{3}+2\Big)+ \frac{1}{2}\cdot \Big(0^4-(-1)^4\Big)=\\\\\\=\frac{8}{3}-2+\frac{1}{2}\cdot (-1)=\frac{8}{3}-2-\frac{1}{2}=\frac{16-12-3}{6}=\frac{1}{6}  

Вас заинтересует