• Предмет: Математика
  • Автор: mishaskliar11
  • Вопрос задан 2 года назад

даю 20 баллов.....................

Приложения:

pavloyasir12356: какой клас?
mishaskliar11:

Ответы

Ответ дал: сок111213
2

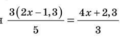
 \frac{3(2x - 1.3)}{5}  =   \frac{4x + 2.3}{3}  \\ 9(2x - 1.3) = 5(4x + 2.3) \\ 18x - 11.7 = 20x + 11.5 \\ 18x - 20x = 11.5 + 11.7 \\ -  2x = 23.2 \\ x = 23.2 \div ( - 2) \\ x =  - 11.6


lemonsage5826: сок поможешь с информатикой?
Вас заинтересует