• Предмет: Алгебра
  • Автор: imomnazarua
  • Вопрос задан 2 года назад

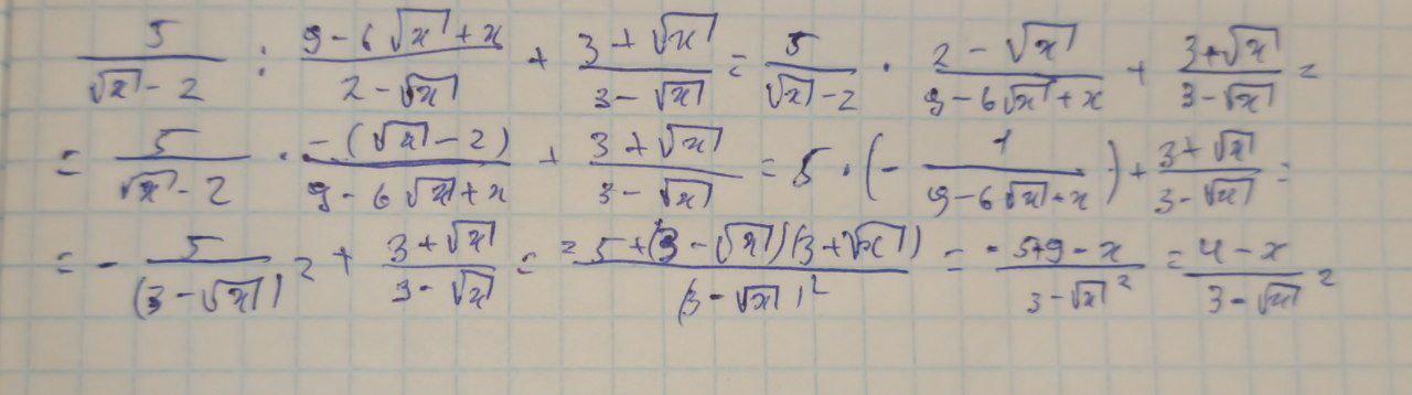
(\frac{5}{\sqrt{x}-2 }):\frac{9-6\sqrt{x} +x}{2-\sqrt{x} }+\frac{3+\sqrt{x} }{3-\sqrt{x} }
Скоротіть вираз.

Ответы

Ответ дал: Gammer4ik
0

Ответ: все розписано на фото

Объяснение:

Приложения:
Вас заинтересует