• Предмет: Физика
  • Автор: pelmenyhochu
  • Вопрос задан 2 года назад

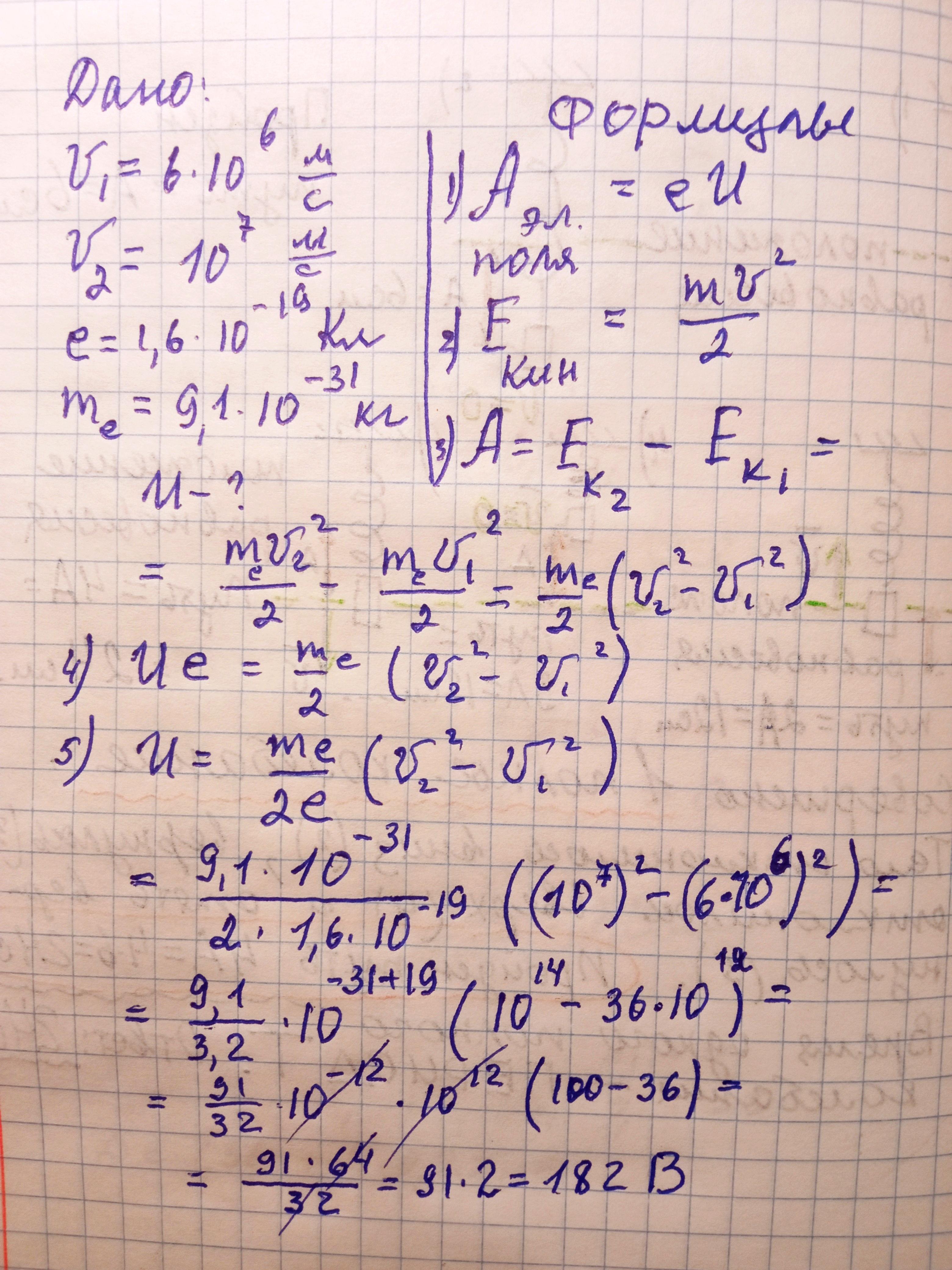
Яку різницю потенціалів повинен пройти електрон, щоб збільшити свою швидкість з 6*106 м/с до 107 м/с? (не чатгпт)

Ответы

Ответ дал: Cohendd
3

Ответ:

Объяснение:.....

Приложения:

Cohendd: Старайтесь считать без калькулятора)
Вас заинтересует