• Предмет: Математика
  • Автор: helphelphelp8
  • Вопрос задан 2 года назад

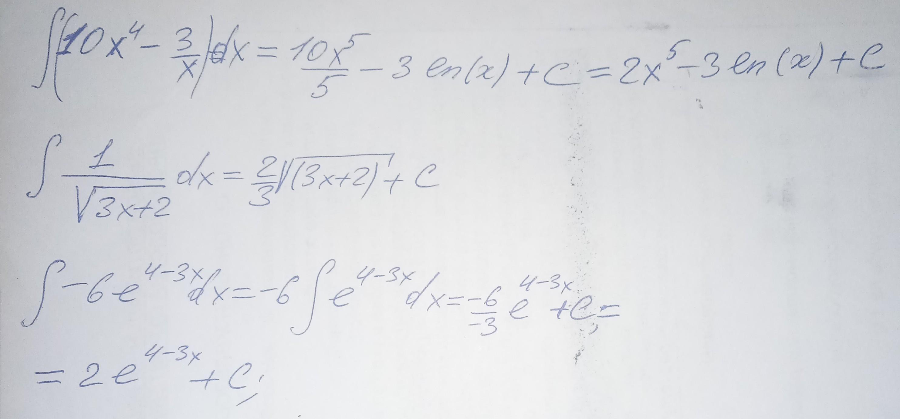
Знайти загальний вигляд первісної для функцій (на фото)

Приложения:

Ответы

Ответ дал: svjatoslawnechipor65
1

Ответ:

Пошаговое объяснение:

Приложения:

helphelphelp8: спасибо большое!
Вас заинтересует