• Предмет: Математика
  • Автор: 657pirat
  • Вопрос задан 2 года назад

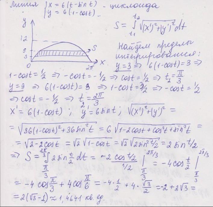
обчислити площі фігур обмежених лініями
срочно 50 балов​

Приложения:

Ответы

Ответ дал: milana25milka
2

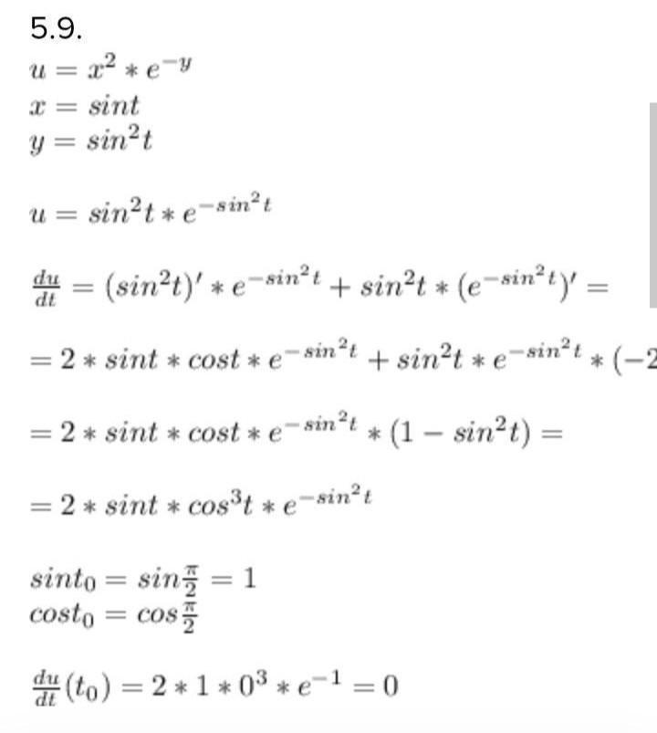
пппппп он все норм ?????

Приложения:

657pirat: ти не зможеш добавить другу задачу
milana25milka: ааааа пон
milana25milka: ну нез
milana25milka: попробую
milana25milka: блин я просто новичок токо сегодня скочяла
milana25milka: скачала
657pirat: та я розумію
657pirat: хоч спасибі за 1 задачу
milana25milka: блин я плохо знаю украинский можно на русском
milana25milka: ок
Вас заинтересует