Ответы
Ответ дал:
0
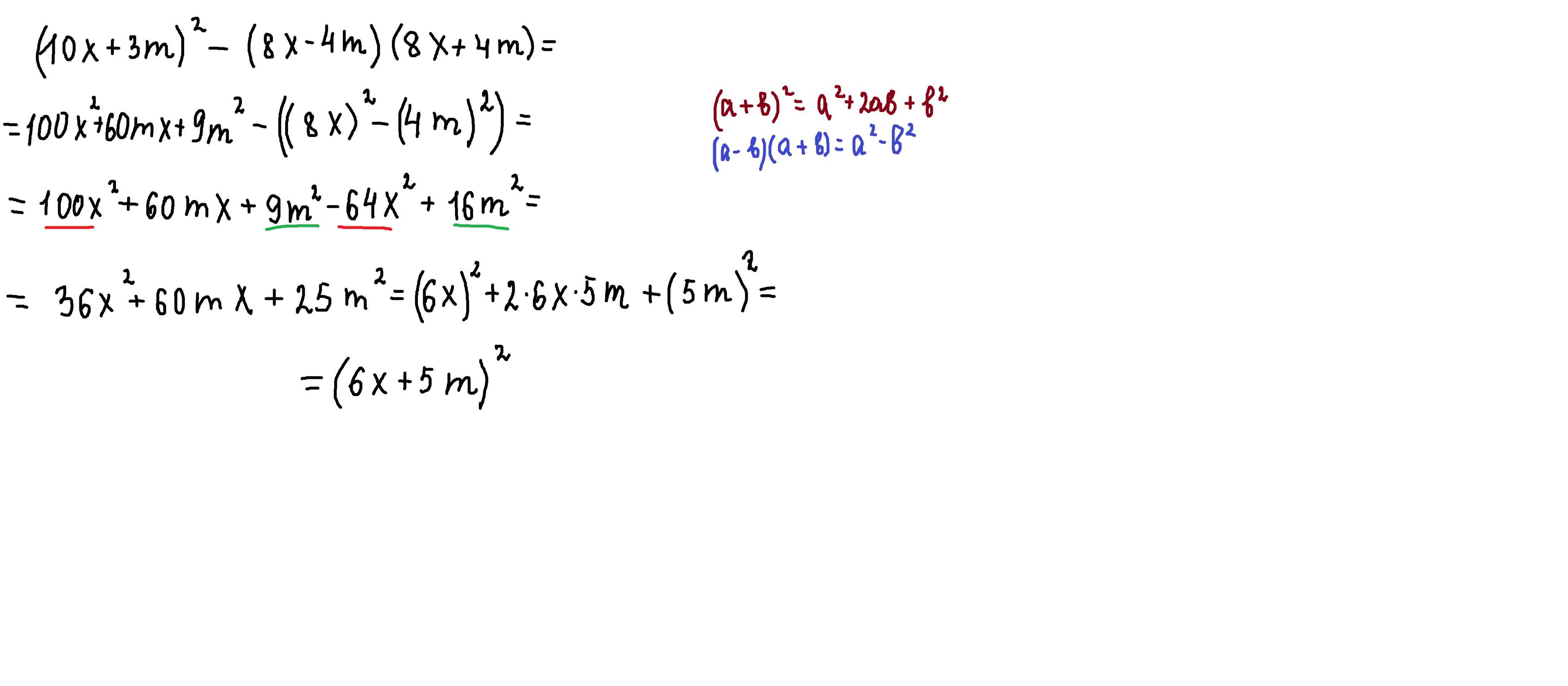
Ответ:
(6х+5m)²
Объяснение:
Приложения:

Michael12341:
parus77 помогите пожалуйста с алгеьрой у меня, в профиле, там все по 50 баллов, очень нужна ваша помощь
Вас заинтересует
1 год назад
1 год назад
1 год назад
3 года назад
8 лет назад