• Предмет: Алгебра
  • Автор: stasuknikita9
  • Вопрос задан 2 года назад

ДАЮ 100 БАЛЛОВ УМОЛЯЮ ОЧЕНЬ ОЧЕНЬ НУЖНО

Приложения:

stasuknikita9: Тільки те що на фотографії,дякую

Ответы

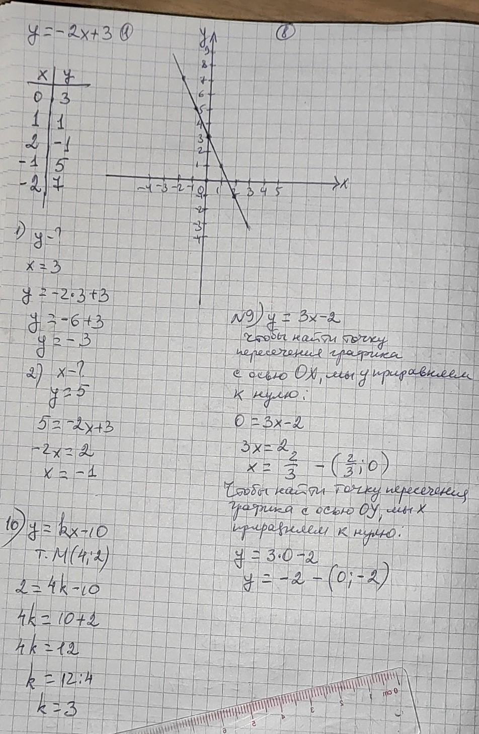
Ответ дал: tetamotatetyamotya
1

Ответ:

вот решение

Объяснение:

на листочке

Приложения:

Аноним: Здравствуйте. вы не могли бы мне помочь с алгеброй пожалуйста умоляюю
Вас заинтересует