Объясните принцип как читать углеродную цепочку с хвостиком
Например(в картинках)
Особенно интересуют Кетоны
Приложения:
Ответы
Ответ дал:
0
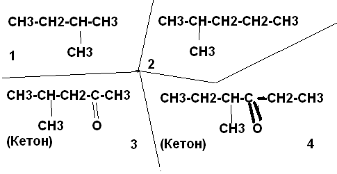
1) цепочка сначала смотришь то что внизу т.е. метан потом смотришь в главную цепь там бутан=== получается 3-метилбутан цифра означает где ответвление счет идет с того конца где ответвление
2) это то же самое 2-метилпентан
3)нумерация идет от того конца где стоит =O у кетонов окончание -он. опять смотрим ответвление метан значит 4-метилпентанон-2 в конце пишешь цифру где стоит =О
4)тоже самое 4-метилгексанон-3
2) это то же самое 2-метилпентан
3)нумерация идет от того конца где стоит =O у кетонов окончание -он. опять смотрим ответвление метан значит 4-метилпентанон-2 в конце пишешь цифру где стоит =О
4)тоже самое 4-метилгексанон-3
Вас заинтересует
3 года назад
8 лет назад
11 лет назад
11 лет назад
11 лет назад