Ответы
Ответ дал:
1
Ответ:23
Объяснение:Берем самое высокое значение y=18 которое возможно, далее берем наименьшее значение x=-5 и подставляем, 18-(-5)=>23 (Так как минус на минус дает плюс)
gzvsgfsfagga:
спасибо!!!
A) y < 5
Б) у < 6
B) y > 1
Г) 0 <у <5
Д) у > 6
15. Если abc^2 < 0, то какое(ие) из нижеследующих неравенств всегда верно?
l) ab<0
II) b<0
III) abc > 0
А) только I
Б) только II
B) I и II
Г) все
Д) ни один из них
Ответ дал:
1
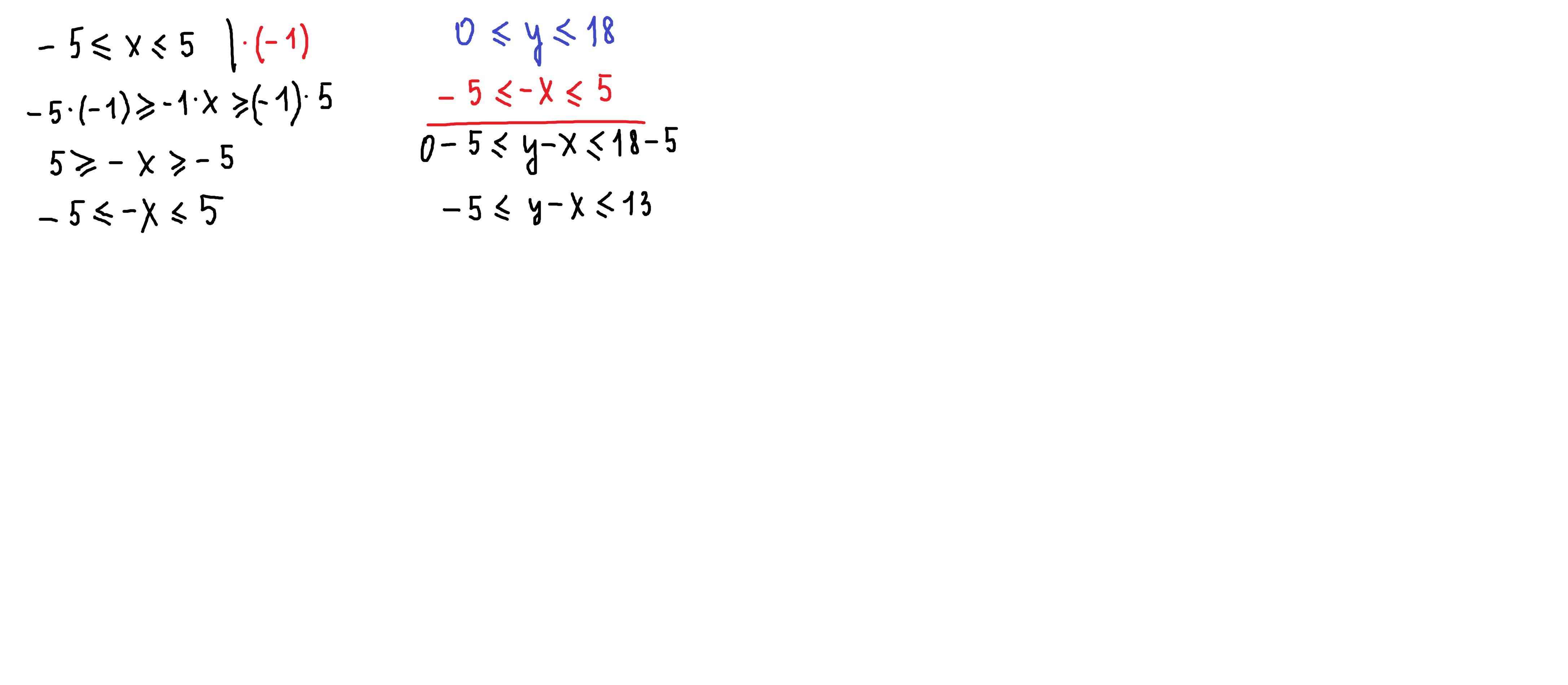
Ответ:
наибольшее значение у - х равно 13
Объяснение:
Приложения:

Вас заинтересует
1 год назад
1 год назад
1 год назад
3 года назад
3 года назад
8 лет назад