• Предмет: Математика
  • Автор: Аноним
  • Вопрос задан 2 года назад

Математика 6 класс решите пожалуйста с обяснениями

Приложения:

Ответы

Ответ дал: parus77
3

Ответ:

Пошаговое объяснение:

решение внизу

Приложения:

february21year2023: parus77 геометрия? 50баллов . последний вопрос
Ответ дал: iramazurk
1

Пошаговое объяснение:

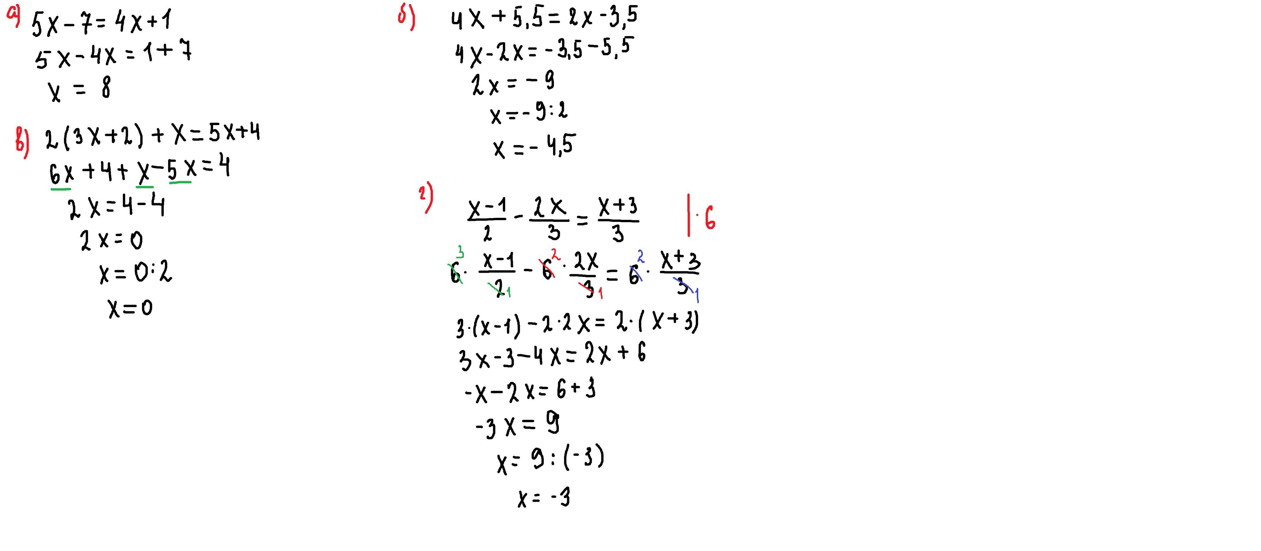
5х - 7 = 4х + 1

5х - 4х = 1 + 7

х = 8

4х + 5,5 = 2х - 3,5

4х - 2х = -3,5 - 5,5

2х = -9

х = -9 : 2

х = -4,5

2(3х + 2) + х = 5х + 4

6х + 4 + х = 5х + 4

7х + 4 = 5х + 4

7х - 5х = 4 - 4

2х = 0

х = 0 : 2

х = 0

(х - 1)/2 - 2х/3 = (х + 3)/3 | * 6

3(х - 1) - 2*2х = 2(х + 3)

3х - 3 - 4х = 2х + 6

-х - 3 = 2х + 6

-х - 2х = 6 + 3

-3х = 9

х = 9 : (-3)

х = -3

Вас заинтересует