• Предмет: Алгебра
  • Автор: Bober342
  • Вопрос задан 2 года назад

ДУЖЕ СРОЧНО!ДАМ 100 БАЛІВ

Приложения:

Ответы

Ответ дал: yugolovin
1

Ответ:

Данное равенство не является тождеством.

Объяснение:

Преобразуем отдельно левую и правую части:

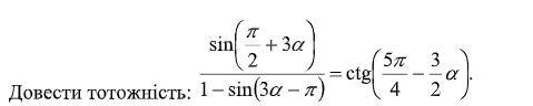
       \dfrac{\sin\left(\frac{\pi}{2}+3a\right)}{1-\sin(3a-\pi)}=\dfrac{\cos 3a}{1+\sin 3a}=\dfrac{\cos^2\frac{3a}{2}-\sin^2\frac{3a}{2}}{\cos^2\frac{3a}{2}+\sin^2\frac{3a}{2}+2\sin\frac{3a}{2}\cos\frac{3a}{2}}=

                 =\dfrac{(\cos\frac{3a}{2}-\sin\frac{3a}{2})(\cos\frac{3a}{2}+\sin\frac{3a}{2})}{(\cos\frac{3a}{2}+\sin\frac{3a}{2})^2}=\dfrac{\cos\frac{3a}{2}-\sin\frac{3a}{2}}{\cos\frac{3a}{2}+\sin\frac{3a}{2}};

         {\rm ctg}\left(\dfrac{5\pi}{4}-\dfrac{3a}{2}\right)=\dfrac{\cos(\frac{5\pi}{4}-\frac{3a}{2})}{\sin(\frac{5\pi}{4}-\frac{3a}{2})}=\dfrac{\cos\frac{5\pi}{4}\cos\frac{3a}{2}+\sin\frac{5\pi}{4}\sin\frac{3a}{2}}{\sin\frac{5\pi}{4}\cos\frac{3a}{2}-\cos\frac{5\pi}{4}\sin \frac{3a}{2}}=

                        =\dfrac{-\frac{\sqrt{2}}{2}\cos\frac{3a}{2}-\frac{\sqrt{2}}{2}\sin\frac{3a}{2}}{-\frac{\sqrt{2}}{2}\cos\frac{3a}{2}+\frac{\sqrt{2}}{2}\sin\frac{3a}{2}}=\dfrac{\cos\frac{3a}{2}+\sin\frac{3a}{2}}{\cos\frac{3a}{2}-\sin\frac{3a}{2}}.

Как видим, у нас получились разные выражения - числитель и знаменатель меняются местами. Поэтому доказать тождество невозможно - левая и правая части не равны друг другу.

Замечание. Получить тождество можно двумя способами - или в правой части заменить котангенс на тангенс, или в знаменателе  левой части вместо 1-sin(3a-π) написать 1+sin(3a-π).


veronikamila65: здравствуйте, помогите исследовать сходимость пожалуйста, никто не помогает, прощу вас
Вас заинтересует