• Предмет: Математика
  • Автор: kovalenkoolia87
  • Вопрос задан 2 года назад

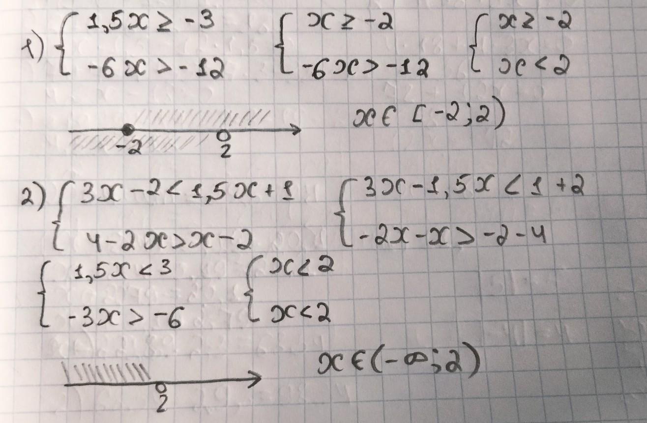
Помогите решить систему неравенств алгебра 8

Приложения:

Ответы

Ответ дал: pavlovdenis966
0

Ответ:

рішення на фотографії.

Приложения:
Вас заинтересует