• Предмет: Математика
  • Автор: sewonsee
  • Вопрос задан 2 года назад

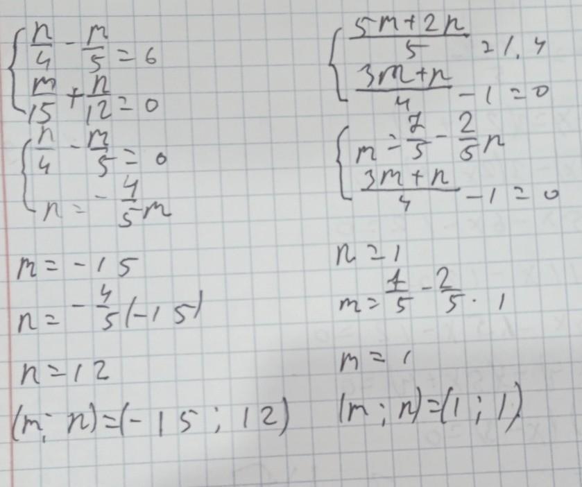
Помогите пожалуйста...​

Приложения:

Ответы

Ответ дал: jqodirov434
1

Ответ:

вот пожалуйста принимаете

Приложения:

sewonsee: Спасибо огромное))
jqodirov434: поставьте пожалуйста 5 звезд
Вас заинтересует