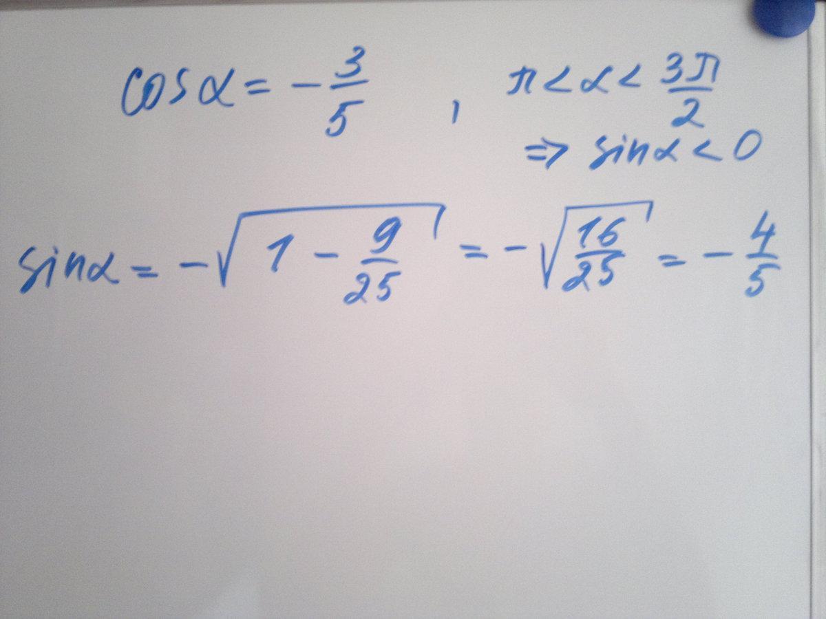
1.Найти sin a, tg a если
cos a = - 3/5
pi < a< (3pi)/2
2.Упростить
a) 1 - cos^2 a×tg^2 a
б)(cos a)/(sin a + 1) + (cos a)/(1 - sin a)
3.Доказать тождество
(sin a×cos a- tg a)/(1 - (sin a+cos a) ^ 2) = = 1/2 tg^2 a
Пожалуйста помогите,срочно надо сегодня уже сдавать надо будет, пожалуйста прошу
дам 50 баллов
Ответы
Ответ дал:
1
Ответ:
Пошаговое объяснение:
ответ на фото
Приложения:



Вас заинтересует
1 год назад
1 год назад
1 год назад
3 года назад
3 года назад
8 лет назад