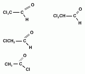
Продуктом максимального замещения атомами хлора атомов водорода в радикале этаналя будет:
1) Сl3C-C=O-H
2) ClCH2-C=O-H
3) CH3-C=O-H
4) Cl2CH-C=O-Cl
Приложения:

Ответы
Ответ дал:
0
Правильный ответ 1).
Вас заинтересует
2 года назад
10 лет назад
10 лет назад
10 лет назад