• Предмет: Физика
  • Автор: 200syndykov67
  • Вопрос задан 2 года назад

Тіло починає рухатися зі стану спокою з прискоренням 2 м/с^2. Якої швидкості набуде тіло, коли воно подолає шлях 400 м ? ДОЮ 100БАЛОВ

Ответы

Ответ дал: dyexfnf
3

Ответ:

Объяснение:

Дано:

a = 2 м/с²

L = 400 м

Найти: V - ?

V = Vo + at

L = (at²)/2  =>  t = √2L/а

Так як тіло рухатися зі стану спокою , то Vo = 0 звідси маємо:

V = а * √2L/а = 2 * √2* 400/2 = 2 * 20 = 40 м/с


Аноним: Извините, что беспокою вас, не могли бы помочь с алгеброй или физикой завтра в 8:30 по Кыргызстану
Ответ дал: Cohendd
3

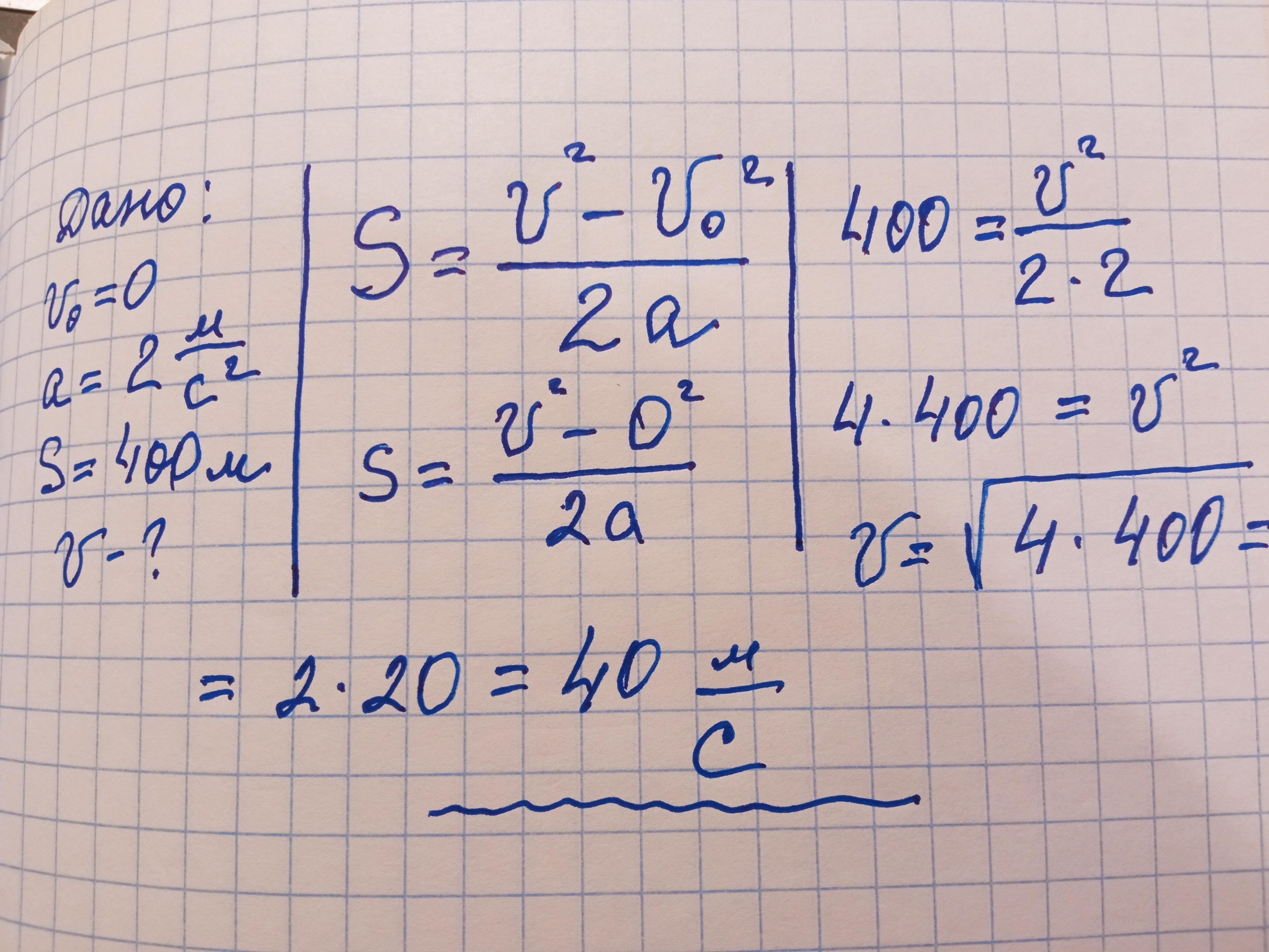
Ответ:

Объяснение:.....

Приложения:

Аноним: Извините, что беспокою вас, не могли бы помочь с алгеброй или физикой завтра в 8:30 по Кыргызстану
Cohendd: У нас ночь. Задавайте. Может кто поможет. У нас 5:30.
Аноним: Мой вк id658914666 и телеграмм @runjinqw
Аноним: не могли бы сюда написать пожалуйста
Аноним: заплачу за работу
Cohendd: Хоть бы класс сообщили. Вы просите и алгебру и физику. И в ВК у меня не открывается.
Cohendd: Заплачу)) Не смешите)) Мы волонтеры
Аноним: 10 класс
Аноним: сможете сейчас помочь
Аноним: ??
Вас заинтересует