• Предмет: Алгебра
  • Автор: boy833010
  • Вопрос задан 2 года назад


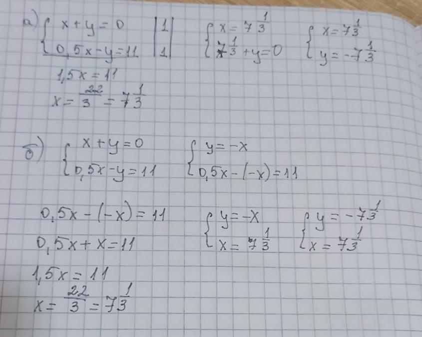
Найдите решение системы
) x+y=2=0, 5x-y=11;


dobra888: У 1- му рівнянні помилка !

Ответы

Ответ дал: mashusho1
1

Ответ:

x=7 1/3 y=-7 1/3

Объяснение:

в случае а система решена методом сложения

в случае б система решена методом подстановки

Приложения:
Вас заинтересует