• Предмет: Математика
  • Автор: t4649369
  • Вопрос задан 2 года назад

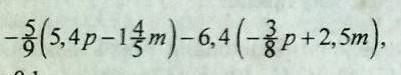
решить якщо p= -10 m=0,1​

Приложения:

Ответы

Ответ дал: сок111213
0

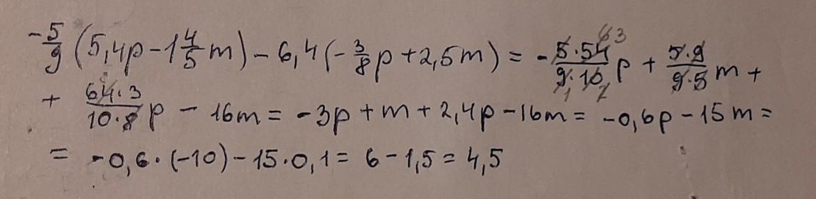
Решение на прикреплённой фотографии

Приложения:
Вас заинтересует