• Предмет: Алгебра
  • Автор: IdkWhatToPutHere
  • Вопрос задан 2 года назад

Помогите пожалуйста, вообще не понимаю как кв. корни делать.

Приложения:

Ответы

Ответ дал: to5633t431
1

Ответ:

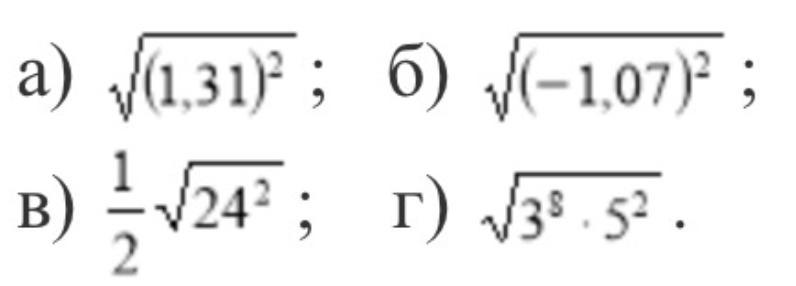
а) 1,31

б) 1,07

в) 12

г) 405

Ответ дал: TanomiU
1

Ответ:

Объяснение:

Арифметический квадратный корень из числа a – это такое число b

возведение которого в квадрат даст a.
Например,
√4   = числу, которое при возведении в квадрат даст 4.
Это число 2 → 2² = 4, значит,
√4 = 2. Можно записать так:
√4 = √2² = 2

√9 = √3² = 3;   √16 = √4² =4;  √25 = √5² = 5
Но необходимо помнить, что под корнем всегда должно стоять положительное число, потому что квадрат любого числа положителен:
2² = 4 > 0
(-2)² = 4 >0
----------------------------

a) √(1,31)² = 1,31, т.е. при возведении в квадрат числа 1,31 мы получим подкоренное выражение:  (1,31)²


б) √(-1, 0,7)² = - 1,07
В квадрат возводим число (-1,07), получаем (-1,07)² > 0, т.к. минус, умноженный на минус, даст плюс, и подкоренное выражение
будет > 0. Т.е. отрицательное число можно возводить в квадрат, а вот под корнем получим число всегда положительное.

в) ¹/₂√24² =  ¹/₂* 24 = 12

г) √3⁸5² = 3⁴5 = 3*3*3*3 *5 = 81*5 =405
Чтобы получить под корнем 5² надо возвести в квадрат 5.
Чтобы получить под корнем 3⁸ мы должны возвести в квадрат
число 3⁴:   (3⁴)² = 3⁴*² =  3⁸  
(свойство степеней: (аᵇ)ⁿ = аᵇⁿ

Вас заинтересует