• Предмет: Математика
  • Автор: vermenicivan
  • Вопрос задан 2 года назад

2 и 3 кому не сложно прошу срочно

Приложения:

Ответы

Ответ дал: сок111213
1

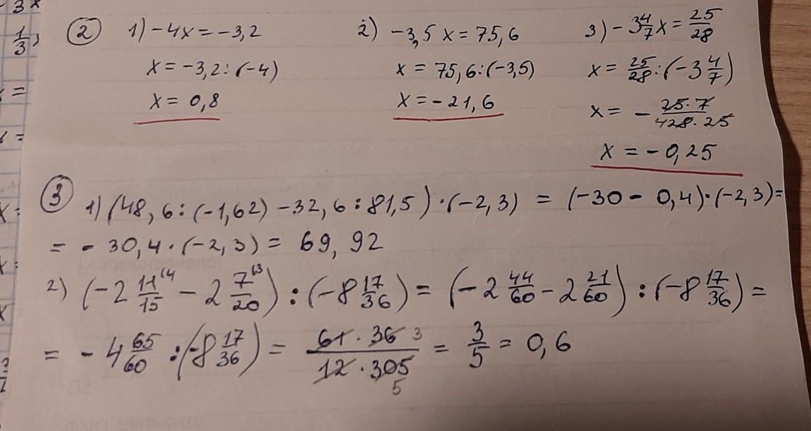
Решение на прикреплённой фотографии

Приложения:
Вас заинтересует