Ответы
Ответ дал:
0
Смотри...........................
Приложения:

Ответ дал:
0
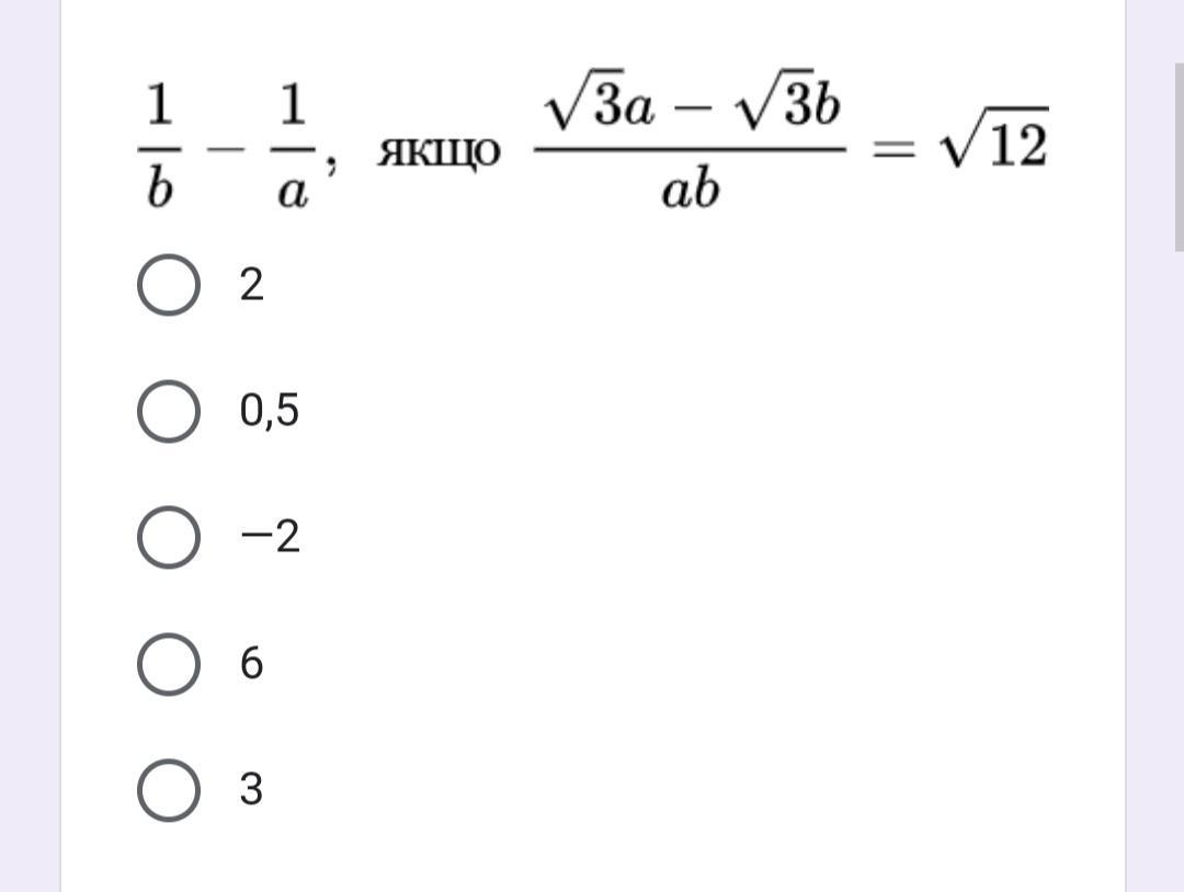
правильный ответ: 2
подробное решение прикрепила в фото
подробное решение прикрепила в фото
Приложения:

Вас заинтересует
1 год назад
1 год назад
1 год назад
1 год назад
3 года назад
8 лет назад