• Предмет: Алгебра
  • Автор: orlivskaroksana
  • Вопрос задан 2 года назад

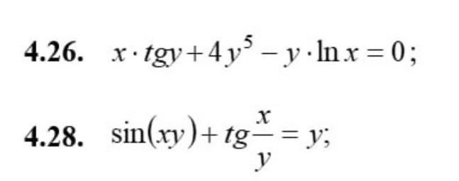
СРОЧНО!!! Завдання на фото​

Приложения:

Ответы

Ответ дал: kirasolar968
0

только к 4.26,простите..

Приложения:
Вас заинтересует