• Предмет: Математика
  • Автор: artur2005sv
  • Вопрос задан 2 года назад

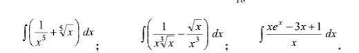
Обчислити інтеграл безпосереднім інтегруванням сделайте прошу очень нужно даю 100 балов

Приложения:

Ответы

Ответ дал: DizzZero
1

Пошаговое объяснение:

..................................

Приложения:
Вас заинтересует