• Предмет: Математика
  • Автор: Quarter48
  • Вопрос задан 2 года назад

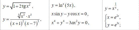
Знайти першу похідну y'(x) функції y(x)

Приложения:

Ответы

Ответ дал: HSS9860
1

Пошаговое объяснение:

посмотрите решение для нескольких заданий, по возможности проверьте в других источниках.

Приложения:
Вас заинтересует