• Предмет: Математика
  • Автор: Аноним
  • Вопрос задан 2 года назад

люди пожалуйста, пожалуйста

Приложения:

Ответы

Ответ дал: annapapaya
1
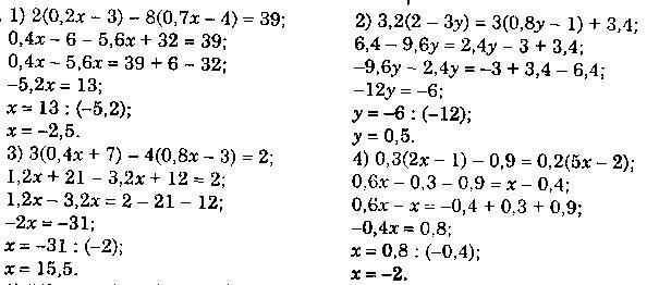
на фотографии ответы
Приложения:
Ответ дал: tatsach
1

Ответ:

Пошаговое объяснение:

Приложения:
Вас заинтересует