Ответы
Ответ дал:
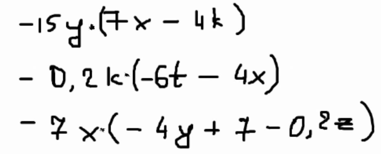
1
-15y*(7x-4k)=-15y*7x-15y*(-4k)=-105xy-15y*(-4k)=-105xy+15y*4k=-105xy+60ky
-0,2kx(-6t-4x)= -0,2 kx(-6t)-0,2kx(-4x)= 0,2kx6t-0,2kx(-4x)=1,2 kt-0,2 kx(-4x)= 12kt+0,2k×4x= 1,2 kt+0,8 kx
-0,2kx(-6t-4x)= -0,2 kx(-6t)-0,2kx(-4x)= 0,2kx6t-0,2kx(-4x)=1,2 kt-0,2 kx(-4x)= 12kt+0,2k×4x= 1,2 kt+0,8 kx
karina102343568:
Сейчас ещё один
-7xx(-4y+7-0,2z)= -7xx(-4y)-7xx7-7xx(-0,2z)= 7x×4y-7x×7-7xx-0,2z= 28xy-7x×7-7xx -0,2z= 28xy-49x-7xx -0,2z= 28xy-49×+7xx0,2z= 28xy-49x+14xz
По идее всё так
Вас заинтересует
1 год назад
1 год назад
2 года назад
2 года назад
3 года назад
9 лет назад