• Предмет: Алгебра
  • Автор: sumarukviktoria2
  • Вопрос задан 2 года назад

Допоможіть будьласка даю 90 балів

Приложения:

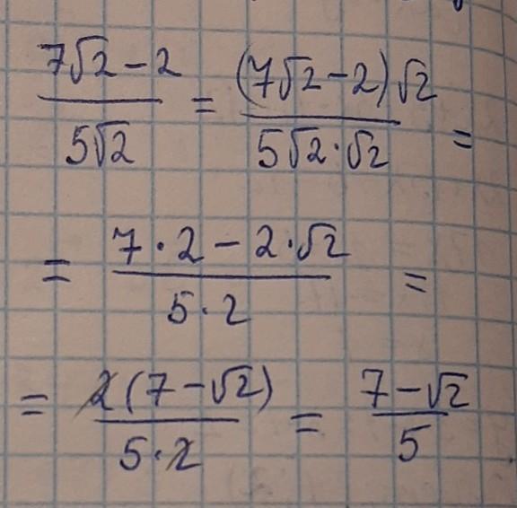
tamarabernukho: Избавиться от иррациональности в знаменателе?
tamarabernukho: =(7-√2)/5

Ответы

Ответ дал: сок111213
2

решение на прикреплённой фотографии

Приложения:
Вас заинтересует