• Предмет: Алгебра
  • Автор: yaneznaunichego
  • Вопрос задан 2 года назад

знов шукаю відповідь до завдання :)
будь ласка, зробіть фото вашого графіка, бо я не вмію добре їх малювати :_>

Приложения:

MizoriesKun: Тут не надо рисовать)) только считать

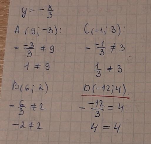
Ответы

Ответ дал: сок111213
2

Ответ: 4) D

Решение на фото

Приложения:

yaneznaunichego: дякую, але для повного завдання потрібний графік :_(
Вас заинтересует