• Предмет: Математика
  • Автор: hmelevskijv909
  • Вопрос задан 2 года назад

пж помогите очень нужно срочно

Приложения:

Ответы

Ответ дал: iramazurk
2

Пошаговое объяснение:

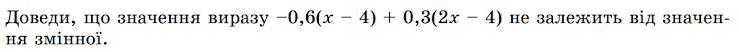
-0,6(х - 4) + 0,3(2х - 4) = -0,6х + 2,4 + 0,6х - 1,2 =

(-0,6х + 0,6х) + (2,4 - 1,2) = 0 + 1,2 = 1,2

Значение выражения не зависит от значения переменной так как они самоуничтожились

Вас заинтересует