• Предмет: Математика
  • Автор: evgenua7905
  • Вопрос задан 2 года назад

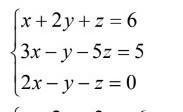
Помогите пожалуйста решить методом Гауса ​

Приложения:

Ответы

Ответ дал: sabiswwq
0
слушай,скачай приложение photomath загрузи и оно тебе даст правильный ответ и объяснит,советую,пользуюсь 3 года
там выберешь каким методом решать

ali1663: ахахахах вумен
sabiswwq: ес
sabiswwq: вумее
ali1663: аххахаххаха
Вас заинтересует