• Предмет: Алгебра
  • Автор: Аноним
  • Вопрос задан 11 лет назад

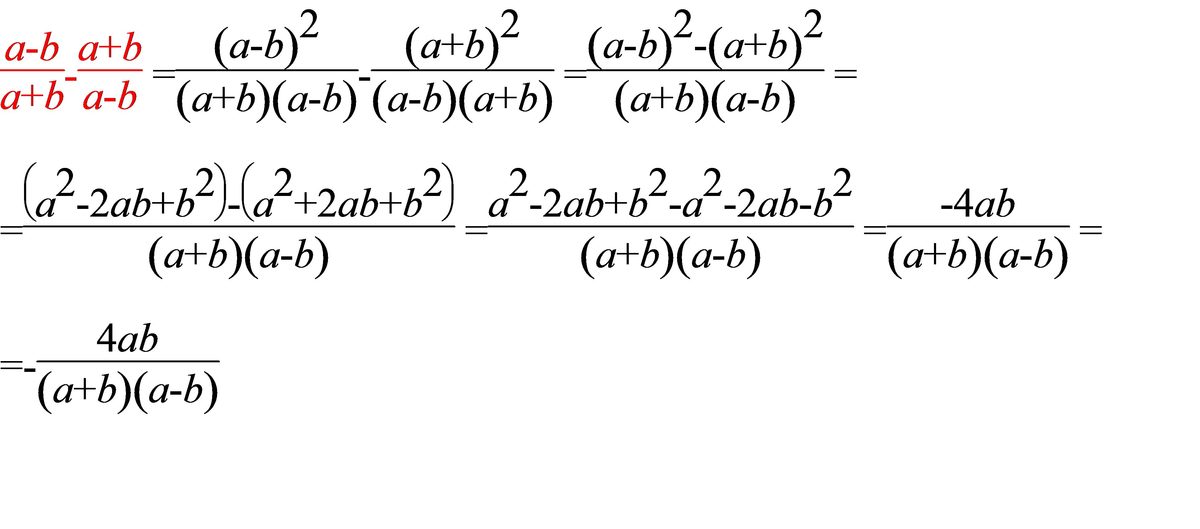
Упростите выражение:(a-b)/(a+b) – (a+b)/(a-b) где знак / там дробь!!!))

Ответы

Ответ дал: triolana
0

файл

=================================

Приложения:
Ответ дал: наида6
0

=(((a-b)^2-(a+b)^2)/(a+b)(a-b)=(a^2-2ab+b^2-a^2-2ab-b^2)/(a^2-b^2)=-4ab/(a^2-b^2)

Приложения:
Вас заинтересует