• Предмет: Алгебра
  • Автор: alek145
  • Вопрос задан 2 года назад

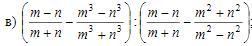
треба спростити вираз

Приложения:

Ответы

Ответ дал: dimasik4529
0

Відповідь:

Пояснення на фото. Дай кращу відповідь)

Пояснення:

Приложения:
Вас заинтересует