• Предмет: Алгебра
  • Автор: alek145
  • Вопрос задан 2 года назад

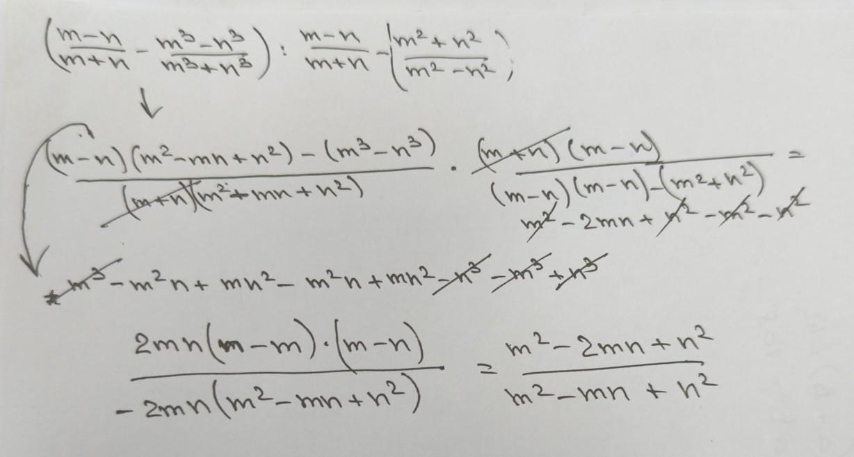
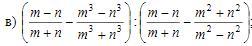
треба спростити вираз

Приложения:

Аноним: напиши свой инст,там решу
alek145: evgen ropak

Ответы

Ответ дал: sstavridka
1

Ответ:

... =  \frac{ {m}^{2}  - 2mn +  {n}^{2} }{ {m}^{2} - mn +  {n}^{2}  }

Приложения:
Вас заинтересует