• Предмет: Математика
  • Автор: Erliess
  • Вопрос задан 2 года назад

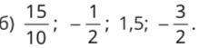
Отметь на координатной прямой точке с координатами: на рисунке.
С объяснениями, пожалуйста

Приложения:

Ответы

Ответ дал: sstavridka
1

Ответ:

 -  \frac{3}{2}  <  -  \frac{1}{2}  \\  \frac{15}{10}  = 1.5

-4/2 = -2

Приложения:

Erliess: Спасибо большое!
Вас заинтересует