• Предмет: Алгебра
  • Автор: okejlarisa
  • Вопрос задан 2 года назад

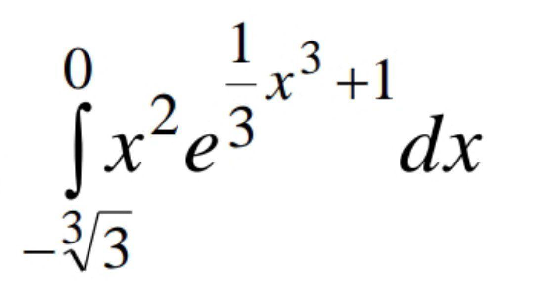
Обчислити визначений інтеграл:

Приложения:

Аноним: напиши свой инст,там решу

Ответы

Ответ дал: sangers1959
1

Ответ: e-1.

Объяснение:

\displaystyle\\\int\limits^0_{-\sqrt[3]{3} } {x^2e^{\frac{1}{3}x^3+1 } \, dx=\int\limits^0_{-\sqrt[3]{3} } {x^2e^{\frac{x^3}{3}+1 } \, dx .

\displaystyle\\\int {x^2e^{\frac{x^3}{3}+1 } \, dx=\left | {{x^3=u\ \ \ \ 3x^2dx=du\ |:{3} \atop {x^2dx=\frac{du}{3}=d\frac{u}{3}  }}\right | =\int e^{\frac{u}{3}+1}d\frac{u}{3} =\\\\

\displaystyle\\=\int e*e^\frac{u}{3} d\frac{u}{3} =e \int e^\frac{u}{3} d\frac{u}{3}=e*e^\frac{u}{3}+C =e^{\frac{u}{3}+1}+C =e^{\frac{x^3}{3} +1}+C.\ \ \ \ \Rightarrow\\\\e^{\frac{x^3}{3} +1}\ |^0_{-\sqrt[3]{3}} =e^{\frac{0^3}{3}+1}-e^{\frac{(-\sqrt[3]{3})^3 }{3} +1}=e^1-e^{-1+1}=e-e^0=e-1.

Вас заинтересует