• Предмет: Алгебра
  • Автор: mikolagubchak77
  • Вопрос задан 2 года назад

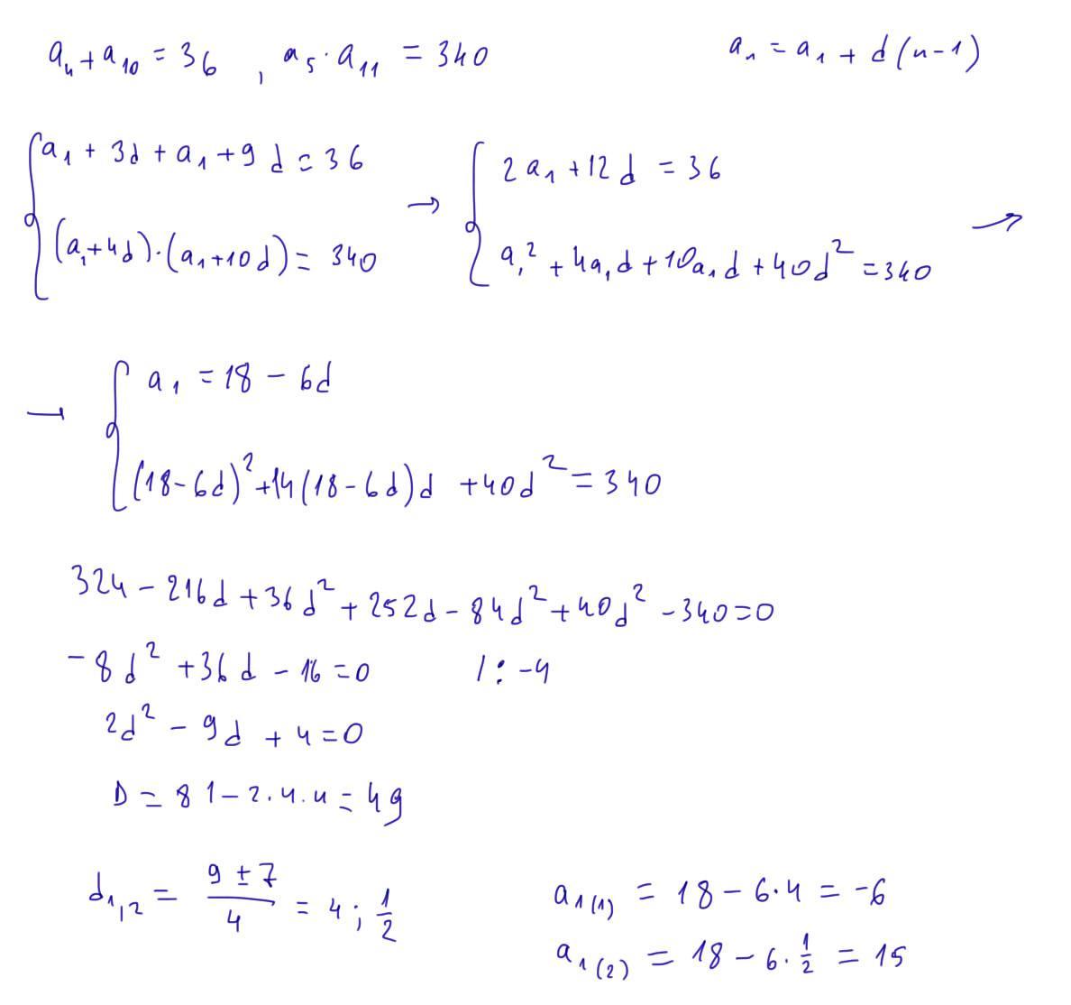
Знайдіть перший член і різницю арифметичної прогресії (аn) якщо а4+a10=36 і а5×а11=340​

Ответы

Ответ дал: Warlock1
0

Ответ:

1) а1=-6, d=4; 2) a1=15; d=0,5

Объяснение:

Приложения:
Вас заинтересует