• Предмет: Математика
  • Автор: emma200346o
  • Вопрос задан 2 года назад

помогите пжпжпж(6 класс)​

Приложения:

Ответы

Ответ дал: Vopros2009
0

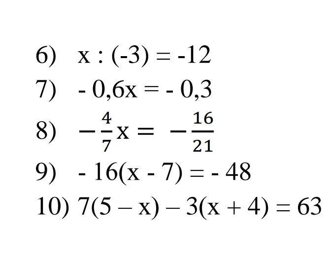
6) x : (-3) = -12
-12 * (-3) = 36
x=36
7) - 0.6x = 0.3
0.3 : (-0.6) = -2
x=-2
8) - 4/7 x = -16/21
-16/21 : (-4/7) =4/7
x=4/7
9) -16(x-7)=-48
-48 : (-16) -7 = 4

x=4 (Не уверен что правильно, но иначе ответ не выходит)

10) 7(5-x) - 3(x+4)= 63

-10*x=-23+63
-10*x=40
___  ___
-10    -10
x=-4


Вас заинтересует