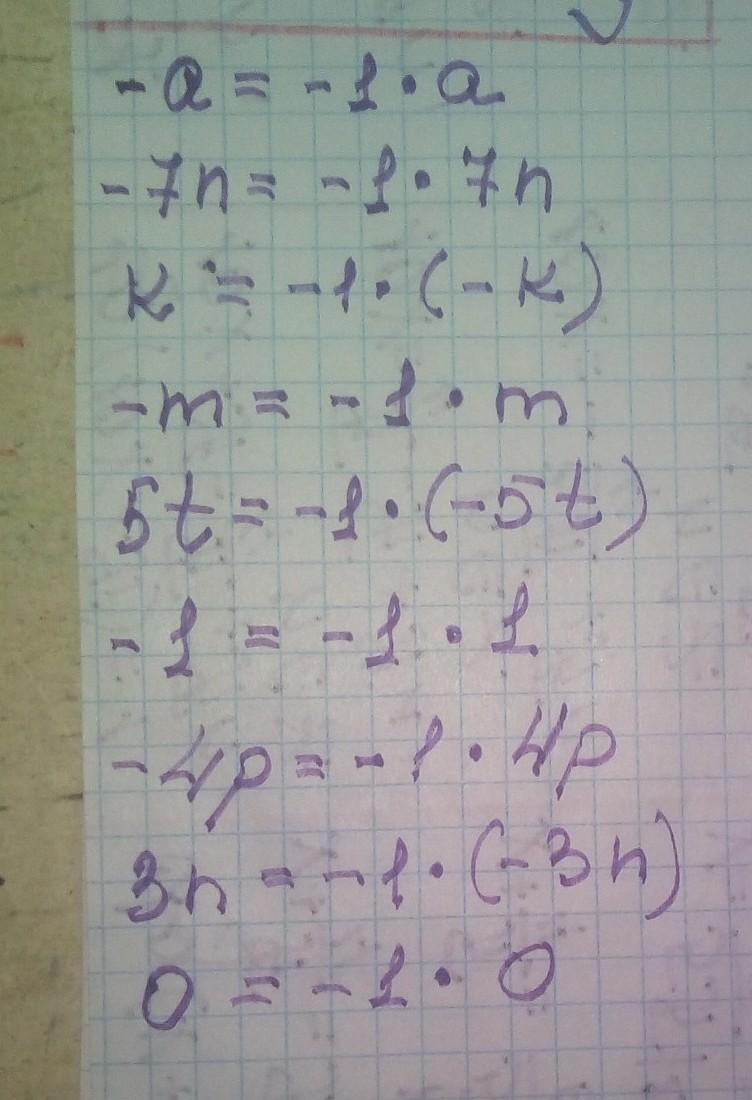
5. Запиши вираз у вигляді добутку двох множників, один з яких дорівнює -1.
ПРОШУ ДАТЬ ПРАВИЛЬНЫЙ ОТВЕТ!!
ЗА ПРАВИЛЬНЫЙ ОТВЕТ ДАМ ХОРОШУЮ ОЦЕНКУ ОТВЕТУ!!
Приложения:

Ответы
Ответ дал:
6
Ответ:
решение смотри на фотографии
Приложения:

no2022name754:
спасибо всё правильно!
Вас заинтересует
1 год назад
1 год назад
1 год назад
1 год назад
3 года назад
8 лет назад