(2х+8) (25-5х)=0 срочно и с объяснением пожалуйста!!!
jekadva:
(2х+8) = 0 или (25-5х)=0 ; x = -4 или x = 5
Ответы
Ответ дал:
0
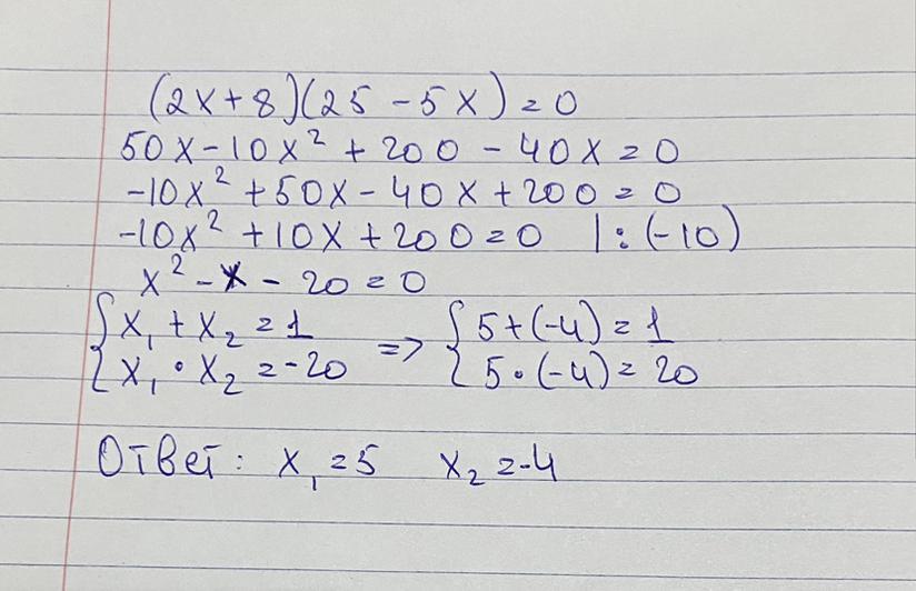
ответ: X1=5, X2=-4
Объяснение: Сначала раскрываем скобки, затем подобные слагаемые отнимаем. Все уравнение делим на -10. И по Теореме Виета находим корни
Объяснение: Сначала раскрываем скобки, затем подобные слагаемые отнимаем. Все уравнение делим на -10. И по Теореме Виета находим корни
Приложения:

Вас заинтересует
1 год назад
1 год назад
3 года назад
3 года назад
8 лет назад