• Предмет: Алгебра
  • Автор: karina577hhb
  • Вопрос задан 2 года назад

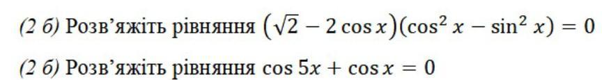
(√2-2cosx) (cos^2x-sin^2x)=0​

Приложения:

Ответы

Ответ дал: sigmavostro
1

Ответ:

Розкриваємо дужки в другому добутку за формулою різниці квадратів:

(cos^2x - sin^2x) = cos^2x - (1 - cos^2x) = 2cos^2x - 1

Тоді отримуємо:

(√2 - 2cosx) (2cos^2x - 1) = 0

Отже, маємо два рівняння:

√2 - 2cosx = 0, тоді cosx = √2/2

2cos^2x - 1 = 0, тоді cosx = ±1/√2

Отже, розв'язки цього рівняння: x = π/4 + kπ, x = ±π/3 + kπ, де k - ціле число.

Объяснение:

Вас заинтересует