• Предмет: Математика
  • Автор: krykotenkosofia311
  • Вопрос задан 2 года назад

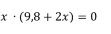
Визначте корені рівняння

0

4,9

–4,9

9,8

–9,8

правильної відповіді немає

Приложения:

Ответы

Ответ дал: manyny06
0

Ответ:

решение смотри на фотографии

Приложения:
Ответ дал: сок111213
0

Ответ: 0 и -4,9

x(9.8 + 2x) = 0 \\ x _{1} = 0 \\ 9.8 + 2x = 0 \\ 2x =  - 9.8 \\ x  _{2}= -  9.8 \div 2 \\ x _{2} =  - 4.9

Вас заинтересует