• Предмет: Алгебра
  • Автор: avetis2009a
  • Вопрос задан 2 года назад

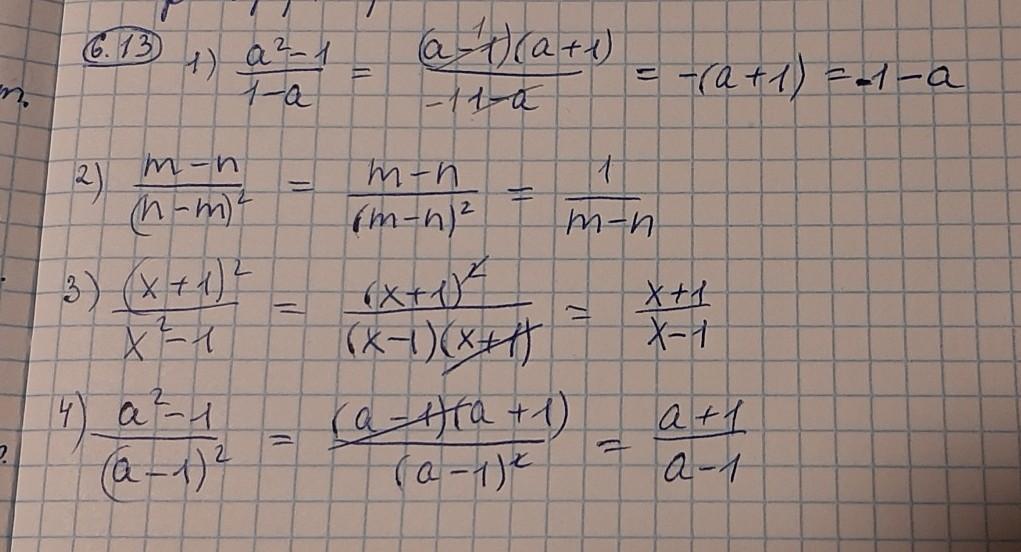
н6.13 , Сократите дроби

Приложения:

Ответы

Ответ дал: сок111213
1

сокращённые дроби на фото

Приложения:
Вас заинтересует