• Предмет: Математика
  • Автор: nastyabrazhnik5
  • Вопрос задан 2 года назад

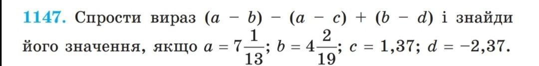
срочнооо даю 10 баллов ​

Приложения:

Ответы

Ответ дал: tetamotatetyamotya
1

Ответ:

вот решение

Пошаговое объяснение:

на листочке

Приложения:
Вас заинтересует